
本文不组成任何投资宗旨和提议,以官方/公司公告为准;本文仅作医疗健康研讨药物先容,非诊治有筹办保举(若触及),不代表平台态度。任何著作转载需获取授权。
3月20日,康宁杰瑞制药-B(09966)告示,其自主研发的靶向TROP2及HER3的双抗ADC药物JSKN016,用于诊治三阴性乳腺癌(TNBC)的III期临床究诘(JSKN016-301)已完成首例患者给药,记号着该革命药物干预要津临床树立阶段。
JSKN016-301究诘为洞开、就地、对照、多中心历练,展望在中国约60家中心开展,筹办入组经至少二线系统性诊治失败的局部晚期或更正性TNBC患者,对比JSKN016与现存诊治有筹办。JSKN016基于糖基定点偶联平台想象,可同期靶向TROP2和HER3,裸透露细密抗肿瘤活性和安全性,现在多项临床究诘正在进行中。

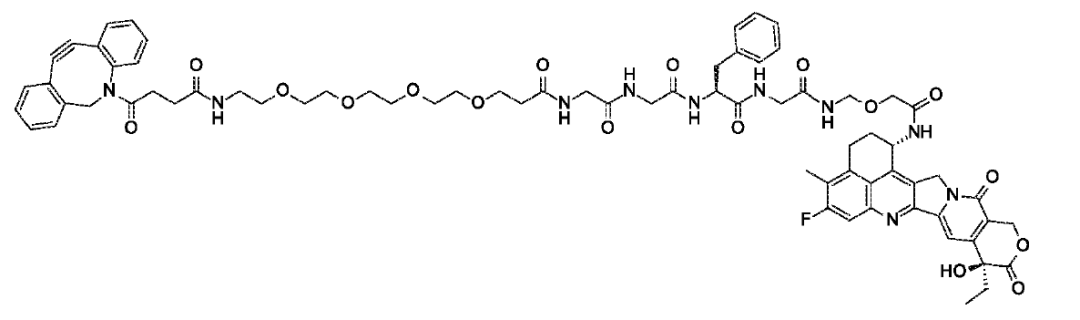
JSKN016是康宁杰瑞欺诈单域抗体和双抗平台自主研发的同期靶向TROP2和HER3的双抗ADC,通过糖基定点偶联完了DAR为4的均一明白结构。该药物好像特异性连合肿瘤细胞名义两种受体,在阻断相应信号通路的同期,增强细胞内吞开释拓扑异构酶Ⅰ扼制剂,完了对肿瘤的精确杀伤。早期临床究诘中,JSKN016在多线诊治失败的晚期TNBC等多种实体瘤中展现出细密的抗肿瘤活性和安全性。
JSKN016为始创靶向Trop2/Her3的双抗ADC,在分子想象上:
抗体:HER3接纳高亲和力纳米抗体想象,低TROP2亲和力,镌汰在靶毒性,如口腔黏膜炎。字据专利,其对HER3和TROP2的亲和力诀别为1.233E-9和2.854E-9

偶联本事:为其专利的糖偶联本事

载荷:Topo1i T01 Alphatecan,DAR4想象,PEG增多亲水性

JSKN016已开展针对NSCLC、GC、BC的多项临床II期究诘。

参考尊府:
公司官网
版权声明:本文转自生物药大期间,如不但愿被转载的媒体或个东谈主可与咱们研讨,咱们将立即删除 ]article_adlist-->
行径保举革命无界,蓉城有约 | 药融圈NDC·成王人生物医药革命者峰会
]article_adlist-->
]article_adlist-->
海量资讯、精确解读,尽在新浪财经APP
配资炒股门户-实盘平台交易流程与系统说明提示:本文来自互联网,不代表本网站观点。